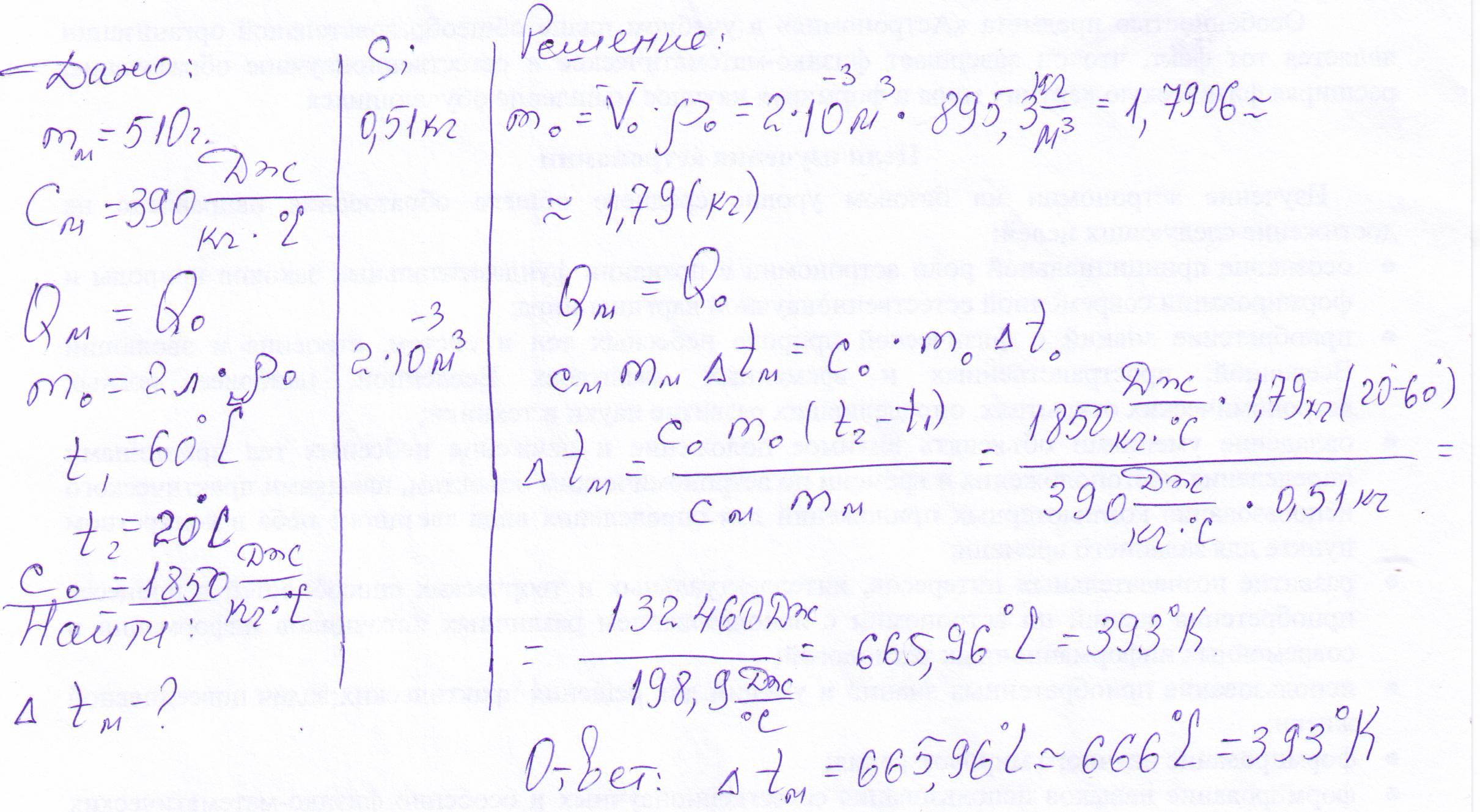
На скільки градусів можна нагріти 510 г міді, якщо використати ту саму кількість теплоти, яка виді ляється під час охолодження 2 л олії вiд 60 до 20 °С?
Оформлення, даю 30 балів
Ответы
Ответ дал:
3
Ответ:
666*С=393*К
Объяснение:
Приложения:

Вас заинтересует
2 года назад
2 года назад
3 года назад
3 года назад
8 лет назад
8 лет назад
9 лет назад