• Предмет: Математика
  • Автор: nurikpozzici
  • Вопрос задан 7 лет назад

помогитеееее
6

342
 \times  <  {?}^{?}

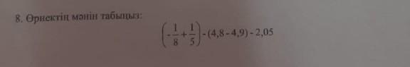
Приложения:

jekadva: = -1 7/8

Ответы

Ответ дал: Аноним
1

Пошаговое объяснение:

( -  \frac{1}{8}  +  \frac{1}{5} ) - (4.8 - 4.9) - 2.05 =  \frac{3}{40}  - ( - 0.1) - 2.05 = 0.075 + 0.1 - 2.05 =   - 1.875

Ответ дал: iramazurk
1

Ответ:

Пошаговое объяснение:

1) -1/8 + 1/5 = -5/40 + 8/40 = 3/40 = 0,075

2) 4,8 - 4,9 = -0,1

3) 0,075 - (-0,1) = 0,075 + 0,1 = 0,175

4) 0,175 - 2,05 = -1,875

Вас заинтересует