• Предмет: Алгебра
  • Автор: ignatcenkoandrey
  • Вопрос задан 8 лет назад

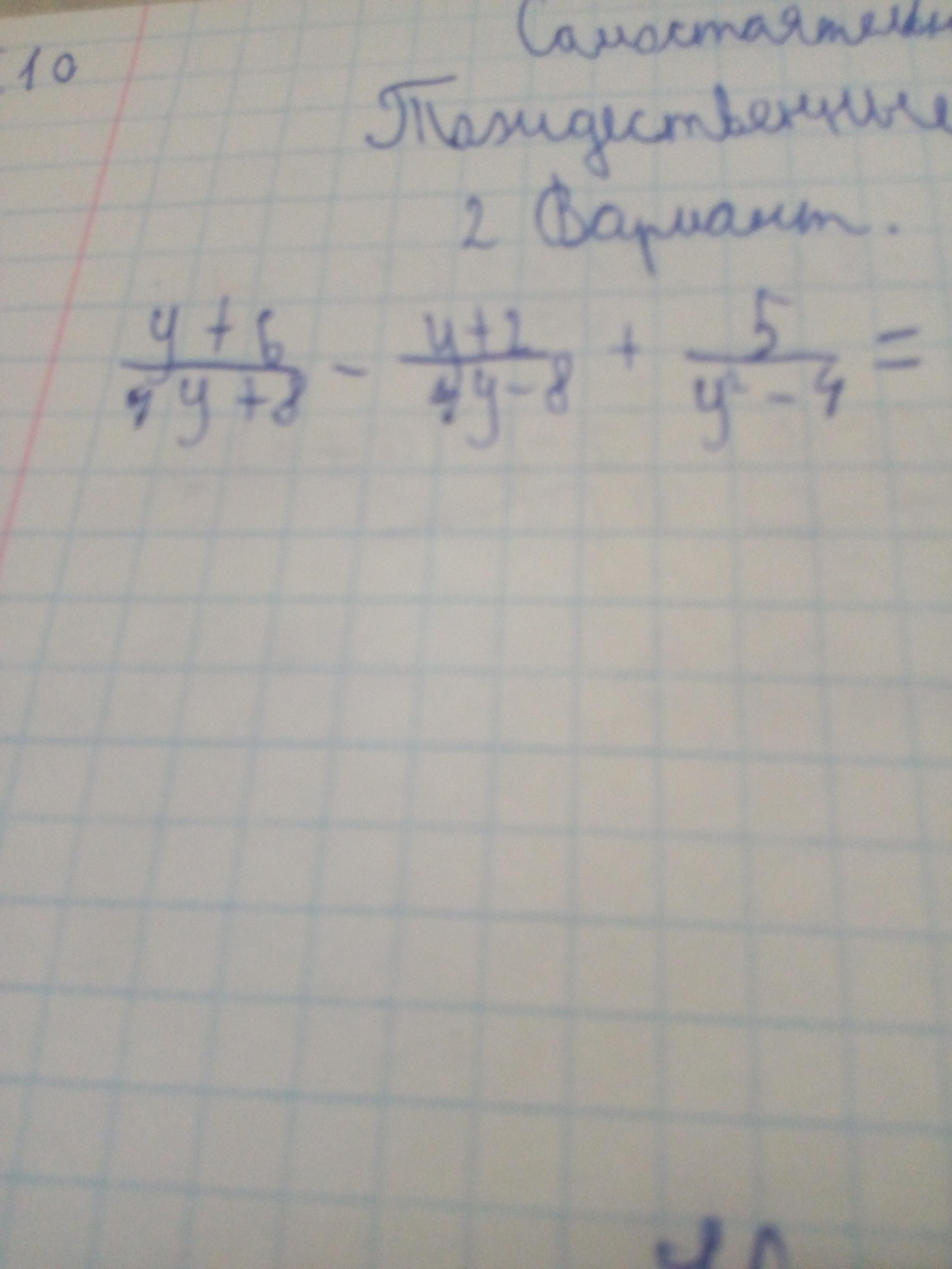
Тождественные преобразования
помогите срочно пожалуйста

Приложения:

Ответы

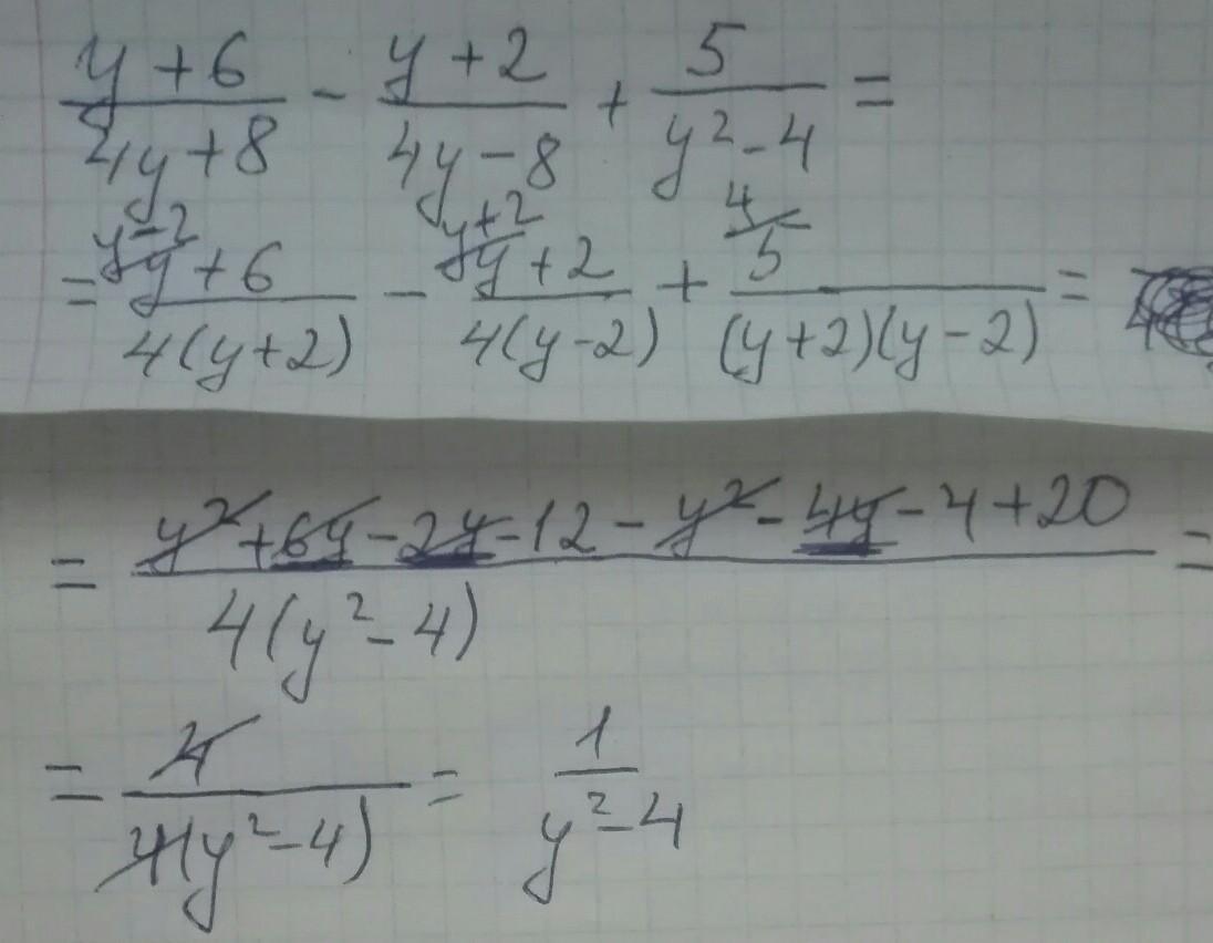
Ответ дал: Sserikbaev
1

Ответ:

………………………………

………………

……………………

………………

Приложения:
Вас заинтересует