• Предмет: Математика
  • Автор: Аноним
  • Вопрос задан 10 лет назад

каким свойством обладают диагонали прямоугольника? 
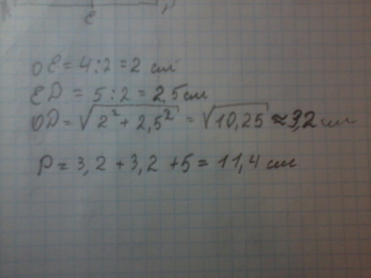
Начертите прямоугольник  ABCD со сторонами 5 см и 4 см. 
проведите диагонали  прямоугольника. Обозначьте точку пересечения диагоналей буквой О. Проведите необходимые  измерения и вычислите  периметр одного из тупоугольных треугольников.
Решите пожалуйста я не понимаю !!!!!!! Буду очень благодарна Заранее спасибо!!!!  и отмечу лучшим кто решит!!!!!!!

Ответы

Ответ дал: 99tasha
0
===============================================================
ответ в файле:
Приложения:
Ответ дал: Аноним
0
я не знаю я в 4 лицее г.Тулы
Ответ дал: Аноним
0
треугольники и четырёхугольники
Вас заинтересует