Ответы
Ответ дал:
1
Ответ:
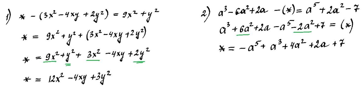
1)
2)
Объяснение:
Решение на фото.
Приложения:

SanLego:
Спасибо, самий лучший ответ!)
Вас заинтересует
2 года назад
3 года назад
8 лет назад
9 лет назад