• Предмет: Алгебра
  • Автор: serebryanskaya215
  • Вопрос задан 8 лет назад

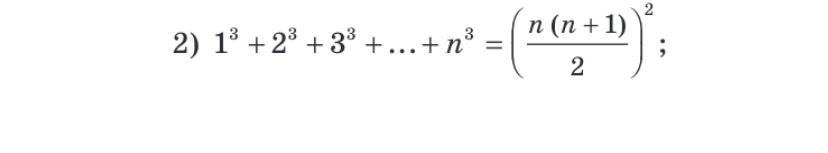
Помогите пожалуйста срочно нужно

Приложения:

Ответы

Ответ дал: staskorzh2007
1

Объяснение:

здесь нужно что то написать оалата

Приложения:

serebryanskaya215: А что нужно написать?
???
Вас заинтересует