Ответы
Ответ дал:
1
Ответ:
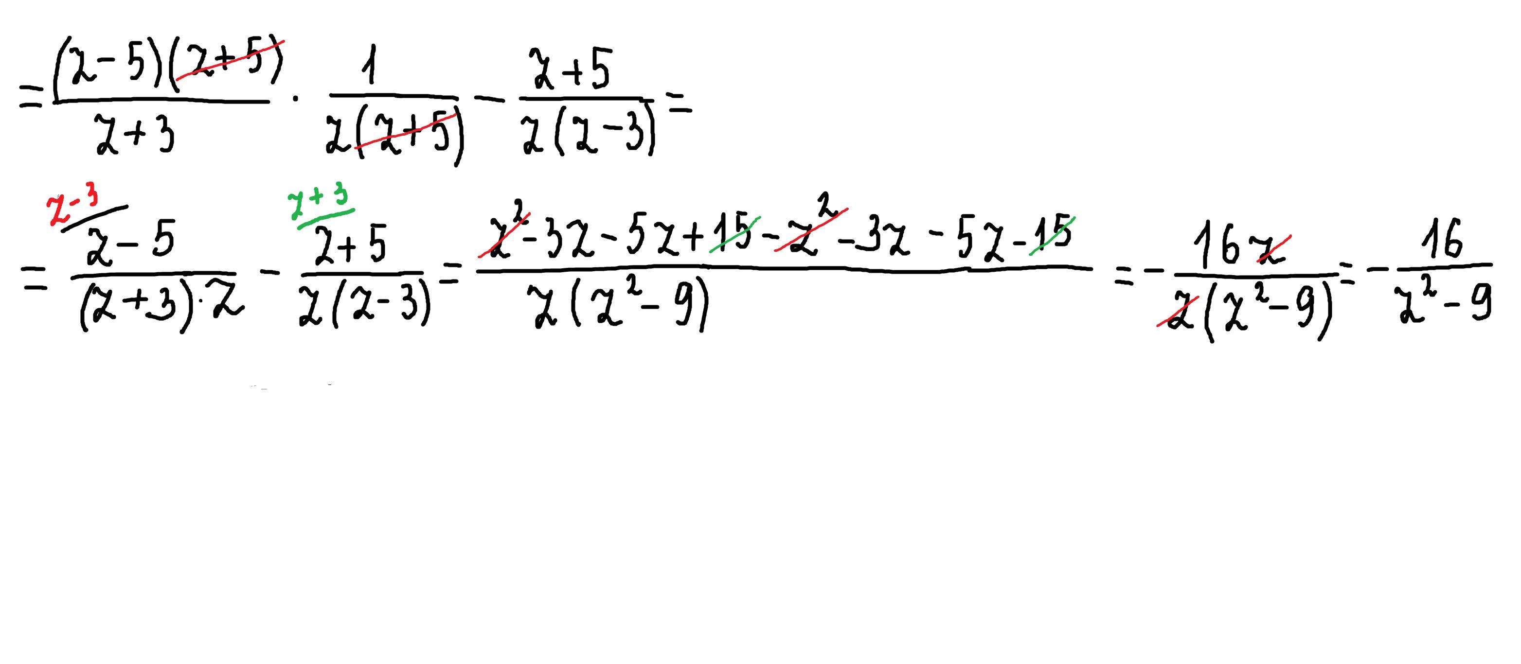
- 16\ z²-9
Объяснение:
Приложения:

Вас заинтересует
2 года назад
2 года назад
8 лет назад
8 лет назад
9 лет назад