• Предмет: Алгебра
  • Автор: evangelinakovtunova
  • Вопрос задан 8 лет назад

Алгебра помогите пожалуйста ​

Приложения:

Ответы

Ответ дал: Аноним
2

Ответ:

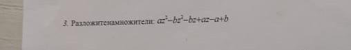
az {}^{2}  - bz {}^{2}  - bz + az - a + b = z^{2}\left(a-b\right)+z\left(a-b\right)-\left(a-b\right) =\left(a-b\right)\left(z^{2}+z-1\right)

Ответ дал: aidarsadikov1
0

Ответ:

(z²+z-1) • (a-b) Желаю 5


aidarsadikov1: я первее написал поставь 5 звезд пж
Аноним: давайте я поставлю вам 5 звёзд .
Аноним: поставила .
aidarsadikov1: спасибо большое
aidarsadikov1: Просто баллы нужны были
Аноним: вы сами себе можите поставить, звед.
evangelinakovtunova: спасибо
aidarsadikov1: У меня еще по географий Тест есть, можешь помочь?
Вас заинтересует