Срочно!!!!!!!!! Укажите наименьшее основание системы счисления в которой запись числа 40 четырехзначная
Ответы
Ответ дал:
0
Ответ:
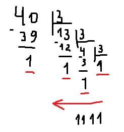
3
Объяснение:
При переводе десятичного числа 40 в СС с основание 3 мы получим код: 1111
Приложения:

damirdallas:
можно расписать
Вас заинтересует
2 года назад
2 года назад
3 года назад
3 года назад
8 лет назад
9 лет назад
9 лет назад