Ответы
Ответ дал:
1
Ответ:
Пошаговое объяснение:
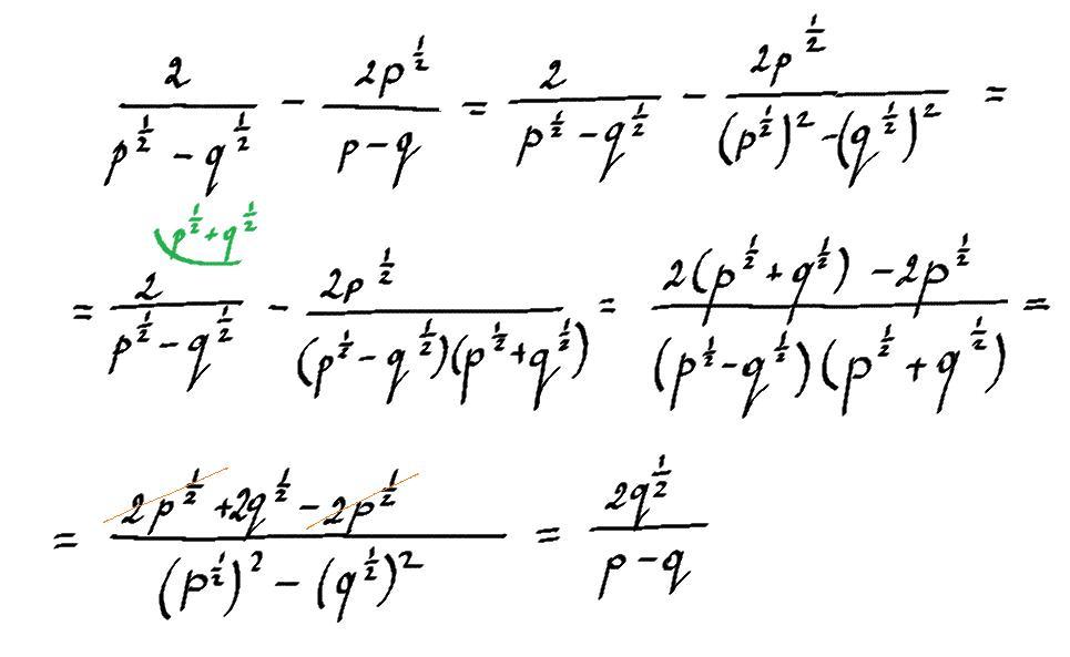
Решение на фото.
Приложения:

DimaSssnake:
спасибо
Вас заинтересует
2 года назад
3 года назад
3 года назад
8 лет назад
8 лет назад