Ответы
Ответ дал:
0
Ответ:
1)а5•а8=а¹³
2)а²•а²=а⁴
3)а9•а=а10
4)а•а2•а3=а6
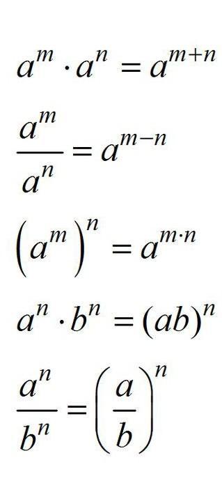
5 и 6 на фото
Приложения:

Аноним:
спасибо
Ответ дал:
1
Ответ:
1 а^13
2 а^4= (2а)^2
3 а^10
4 а^6
5(m+n)^14
(cd)^27
Объяснение:
свойства степеней
показатели складываются если основание одинаковое)
Приложения:

Вас заинтересует
2 года назад
3 года назад
3 года назад
8 лет назад
8 лет назад
9 лет назад