• Предмет: Алгебра
  • Автор: saparovasaule39
  • Вопрос задан 8 лет назад

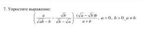
упростите выражение завтра соч пж ответьте​

Приложения:

0x1E: Какой класс?
saparovasaule39: 8 к

Ответы

Ответ дал: 0x1E
0

Ответ:

Вот и ответ на твое задание ,прости за почерк :D

Приложения:

0x1E: назначь лучшим пожалуйста
Вас заинтересует