• Предмет: Алгебра
  • Автор: serebryanskaya215
  • Вопрос задан 7 лет назад

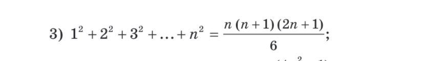
Помогите пожалуйста срочно нужно

Приложения:

Ответы

Ответ дал: onrosan060
0

надеюсь помогла, если можно, то можно лучший ответ, пожалуйста ♡

Приложения:
Вас заинтересует