• Предмет: Алгебра
  • Автор: kamisaqqe
  • Вопрос задан 7 лет назад

помогите решить! . .

Приложения:

Ответы

Ответ дал: solving05
0

Ответ:

Объяснение:

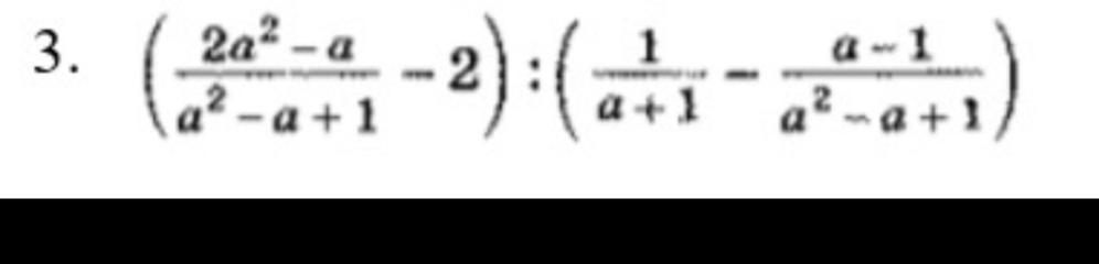
(\frac{2a^2-a}{a^2-a+1}-2):(\frac{1}{a+1}-\frac{a-1}{a^2-a+1})=(\frac{2a^2-a-2a^2+2a-2}{a^2-a+1}):(\frac{a^2-a+1-(a-1)(a+1)}{(a+1)(a^2-a+1)})=\\=(\frac{a-2}{a^2-a+1}):(\frac{a^2-a+1-(a^2-1)}{(a+1)(a^2-a+1)})=(\frac{a-2}{a^2-a+1}):(\frac{a^2-a+1-a^2+1}{(a+1)(a^2-a+1)})=\\=(\frac{a-2}{a^2-a+1}):(\frac{2-a}{(a+1)(a^2-a+1)})=

=(\frac{a-2}{a^2-a+1})*(-\frac{(a+1)(a^2-a+1)}{a-2})=-(a+1)=-a-1

Вас заинтересует