• Предмет: Алгебра
  • Автор: XXXGNXXX
  • Вопрос задан 7 лет назад

Нужна помощь! Даю максимум баллов, сколько только возможно!!!

Приложения:

Ответы

Ответ дал: khakimnasibullin
1

Ответ:

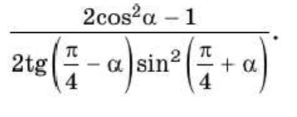
Для того, чтобы упростить выражение 2 * cos ^ 2 a - 1 используем тригонометрические формулы sin ^ 2 a + cos ^ 2 a = 1. То есть получим:

2 * cos ^ 2 a - 1 = 2 * cos ^ 2 a - ( sin ^ 2 a + cos ^ 2 a ) ;

Раскрываем скобки. Так как, перед скобками стоит знак минус, то при ее раскрытии, знаки значений меняются на противоположный знак. То есть получаем:

2 * cos ^ 2 a - ( sin ^ 2 a + cos ^ 2 a ) = 2 * cos ^ 2 a - sin ^ 2 a - cos ^ 2 a = cos ^ 2 a - sin ^ 2 a = cos ( 2 * a ) ;

Ответ: 2 * cos ^ 2 a - 1 = cos ( 2 * a ).

Объяснение:

Ответ дал: Альона12321
0

Ответ:

 2cos(2a) =1

cos(2a)=1/2

2a=±arccos(1/2)+2*pi*n

2a=±pi/3+2*pi*n

a=±pi/6+pi*n

Объяснение: вроде бы так , если нет сорри(

Вас заинтересует