• Предмет: Физика
  • Автор: nastyyy1406
  • Вопрос задан 8 лет назад

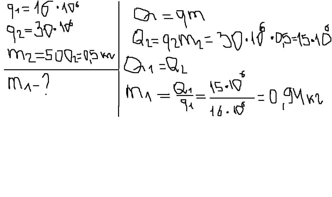
Какую массу керосина нужно сжечь, чтобы получить столько же энергии, сколько ее выделяется при сгорании каменного угля массой 500 г?(удельная теплота сгорания керосина 46*10 в 6 степени Дж/кг,каменного угля 30*10 в 6 степени Дж/кг)

Ответы

Ответ дал: deadxaxaxa
1

Ответ:

держи , думаю все видно

Объяснение:

если не понятно, то пиши

Приложения:
Вас заинтересует