• Предмет: Математика
  • Автор: Аноним
  • Вопрос задан 7 лет назад

помогите пожалуйста пжпжпжпжпжпжп​

Приложения:

drakula0: ок
bbogdansyrbul: -1 ответ

Ответы

Ответ дал: parus77
0

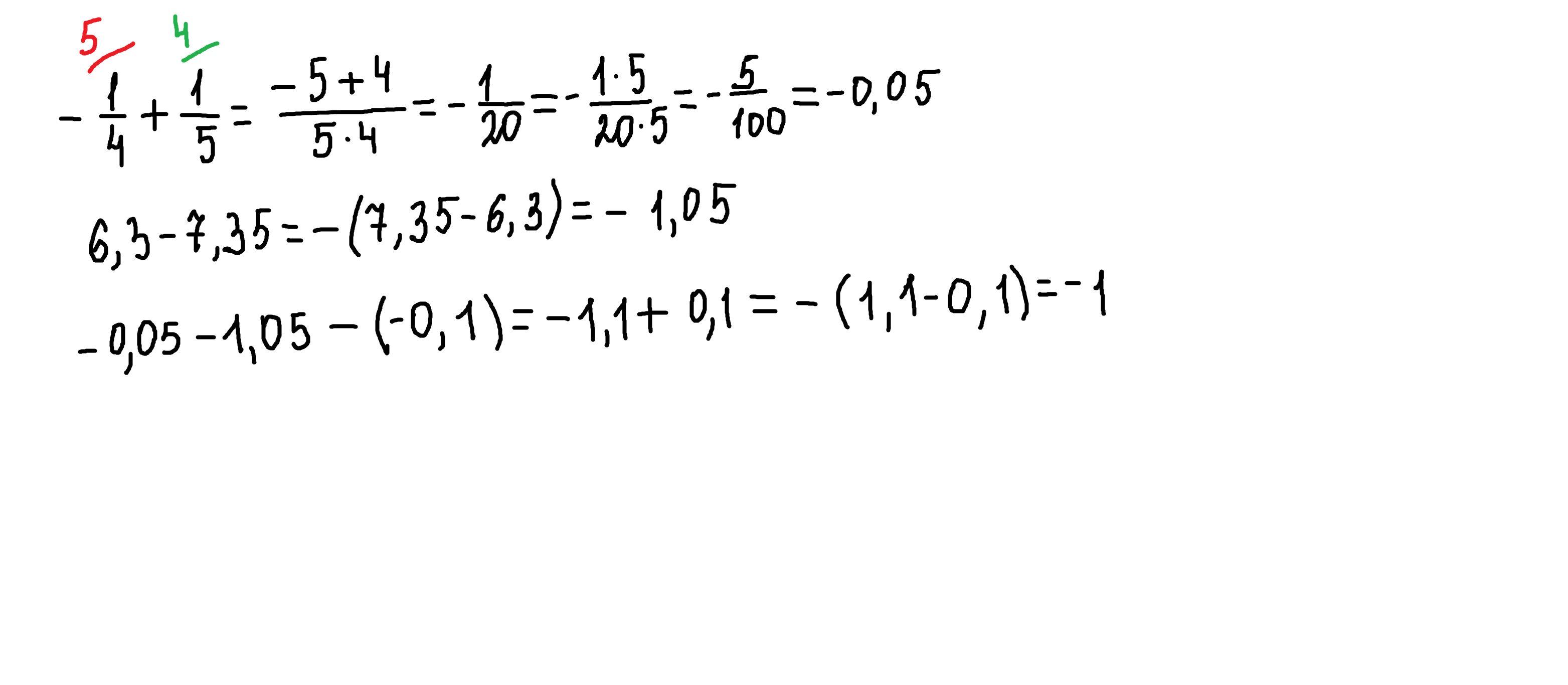
Ответ:

-1

Пошаговое объяснение:

решение по действиям внизу

Приложения:
Вас заинтересует