Решите пожалуйста примеры по физике, срочно.
0, 001м2×100м3; 10 в 4степени см2×10 в 3степени дм2; 10м÷2см2; 10 в 3степени м2÷10 в 5степени см2. Пожалуйста, решите сегодня.
Ответы
Ответ дал:
0
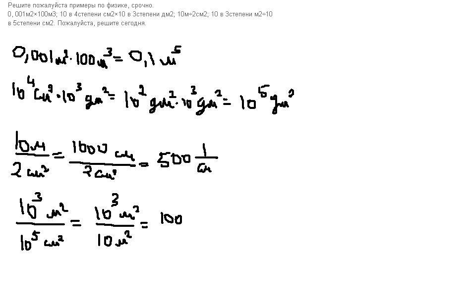
Вот решения всех примеров
Приложения:
Ответ дал:
0
движение очень простое - 1) скольжение тела по внутренней поверхности полусферы
2) движение маятника отведенного в сторону на 90 градусов
2) движение маятника отведенного в сторону на 90 градусов
Ответ дал:
0
легко доказывается что начальное ускорение тангенциальное равно g
при прохождении положения равновесия, тангенциальное равно нулю, а вот центростремительное опять равно a = g
короче это банальные колебания
при прохождении положения равновесия, тангенциальное равно нулю, а вот центростремительное опять равно a = g
короче это банальные колебания
Ответ дал:
0
я дибил. Спасибо, наводку понял. Добавбтте меня в друзья плиз. пообщаемся если у вас есть время)
Ответ дал:
0
ты не дибил ты молодец, дебилы такие вопросы не задают....
а пообщаться всегда можешь со мной на любой ветке если увидишь наглую рожу кота-редиски
а пообщаться всегда можешь со мной на любой ветке если увидишь наглую рожу кота-редиски
Ответ дал:
0
а из какого вы города?
Вас заинтересует
3 года назад
3 года назад
8 лет назад
8 лет назад
11 лет назад
11 лет назад
11 лет назад