Ответы
Ответ дал:
0
Ответ:
Объяснение:
не имеет решения, т.к 16 - будет положительным при любых х, т.о не может быть равно -625
Либо в записи уравнения какая-то ошибка
Ответ дал:
0
Ответ:
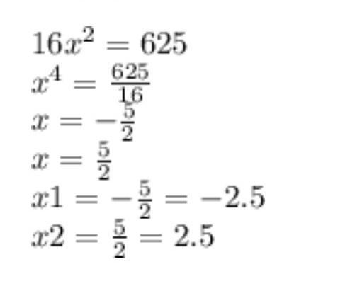
ответ на фото
надеюсь помогла ^=^
Приложения:

LetsChess:
По условию 16x^4 будет равно -625, т.е нет решения
Вас заинтересует
2 года назад
2 года назад
3 года назад
3 года назад
8 лет назад
9 лет назад