Ответы
Ответ дал:
1
Ответ:
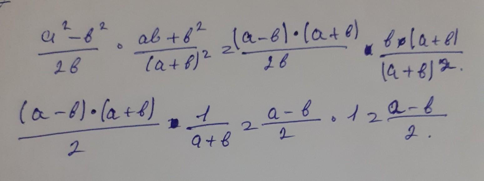
.....................
Приложения:

Ответ дал:
1
Ответ:
Вас заинтересует
2 года назад
2 года назад
3 года назад
8 лет назад
8 лет назад
9 лет назад