• Предмет: Алгебра
  • Автор: ARTEM256
  • Вопрос задан 10 лет назад

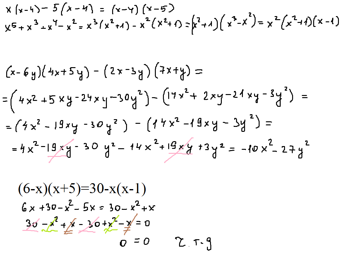
Как решить разложите на множетели a) x(x-4)-5(x-4): б) x^5+x^3-x^4-x^2 упростите выражение (x-6y)(4x+5y)-(2x-3y)(7x+y) докажите тождество (6-x)(x+5)=30-x(x-1)

Ответы

Ответ дал: esmilya
0
решениееееееееееееееее
Приложения:
Вас заинтересует