ДАМ 35 БАЛЛОВ, ВЫРАЗИТЕ В ФОРМУЛЕ
P
Приложения:

Аноним:
Не там отметила((
Ответы
Ответ дал:
0
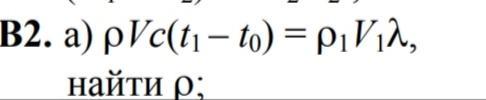
ρ*V*c*(t2=t1)=ρ1*V1*λ
Здесь энергия от остывания какого-то тела плотностью ρ, объемом V пошло на плавление другого плотностью ρ1 и объёмом V2 или наоборот (при кристаллизации выделилось тепло, за счёт которого нагрелось другое тело).
ρ - множитель. Он = произведению / на другой множитель (в кв. скобках).
ρ*[Vc(t1-to)]=ρ1*V1*λ
ρ=ρ1*V1*λ / [V*c*(t1-to)].
Вас заинтересует
2 года назад
2 года назад
3 года назад
3 года назад
8 лет назад
8 лет назад
9 лет назад