сумма трёх углов образованных при пересечении двух прямых равна 224°. Найдите градусную меру меньшего из образованых углов. Срочно!!!
Помогите пожалуйста
Аноним:
Два из трех углов при пересечении прямых смежные, их сумма 180°, поэтому 224°-180°=44°. Вот и все решение.
Ответы
Ответ дал:
5
Ответ:136,136,44,44.
Объяснение:360-224=136градусов-четвёртый угол
Вертикальный с ним тоже равен 136градусов( по теореме о вертикальных углах)
Смежные с ними равны 180-136=44 градусакаждый угол
Ответ дал:
4
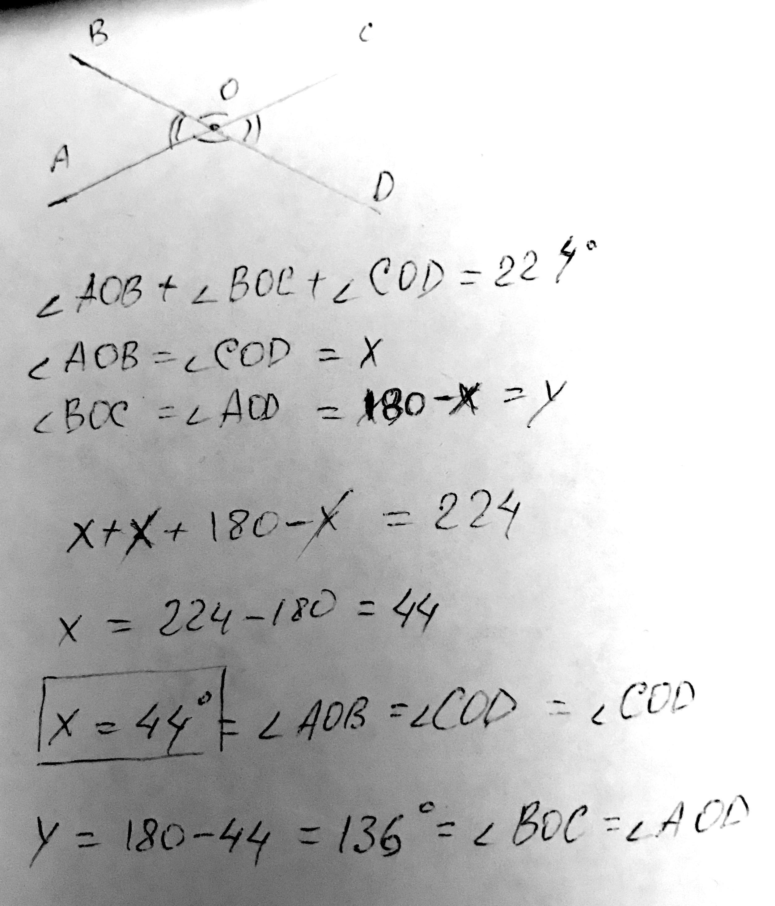
Ответ:
градусная мера меньшего угла = 44 гр.
ответ см. рисунок
Объяснение:
Приложения:

Вас заинтересует
2 года назад
3 года назад
3 года назад
8 лет назад
8 лет назад
9 лет назад
9 лет назад