• Предмет: Алгебра
  • Автор: yemiji4866
  • Вопрос задан 8 лет назад

Помогите пожалуйста, решить задание,
35 баллов.

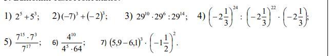
Приложения:

Ответы

Ответ дал: bokunevic
1

Объяснение:

1)2^{5} +5^{3} =32+125=157

2)(-7)^{3} +(-2)^{3} =-343-8=-351

3)29^{10} *29^6} :29^{14} =29^{10+6-14} =29^{2} =261

4)(-2\frac{1}{3} )^{24} :(-2\frac{1}{3} )^{22}*(-2\frac{1}{3} )=(-2\frac{1}{3} )^{24-22+1}=(-2\frac{1}{3} )^{3}=(-\frac{7}{3} )^{3}=-\frac{7^{3} }{3^{3} } =-\frac{343}{27}

5)\frac{7^{15}*7^{3}  }{7^{17} } =\frac{7^{15+3} }{7^{17} } =\frac{7^{18} }{7^{17} } =7^{18-17} =7^{1} =7

6)\frac{4^{10} }{4^{5}*64 } =\frac{4^{10}}{4^{5}*4^{3} } =\frac{4^{10}}{4^{5+3} }=\frac{4^{10}}{4^{8} }=4^{10-8} =4^{2} =16

7)(5,9-6,1)^{3} *(-1\frac{1}{2} )^{2} =(-0,2)^{3}*(-\frac{3}{2}) ^{2} =(-\frac{2}{10}) ^{3} *\frac{3^{2}}{2^{2}}=-\frac{2^{3}}{10^{3}}*\frac{9}{4} =-\frac{8}{1000} *\frac{9}{4} =-\frac{18}{1000} =-0,018

Вас заинтересует