• Предмет: Алгебра
  • Автор: kazuhaps1
  • Вопрос задан 7 лет назад

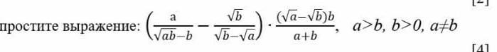
упрости выражение:( а/√аb-b-√b/√b-√a)×(√a-√b)b/a+b, a>b, b>0, a≠b​

Приложения:

Ответы

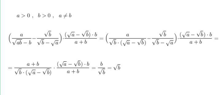
Ответ дал: NNNLLL54
1

Ответ ..........................................................................................................

Приложения:

kazuhaps1: спасибо
Вас заинтересует