• Предмет: Математика
  • Автор: samkasamqw
  • Вопрос задан 7 лет назад

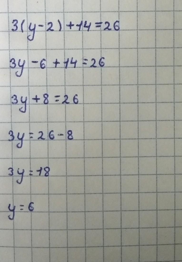
3(y-2)+14=26
пж срочно​

Ответы

Ответ дал: WHiTeDraGoN7
0

Ответ : 6 , решение на фото .

Приложения:
Вас заинтересует