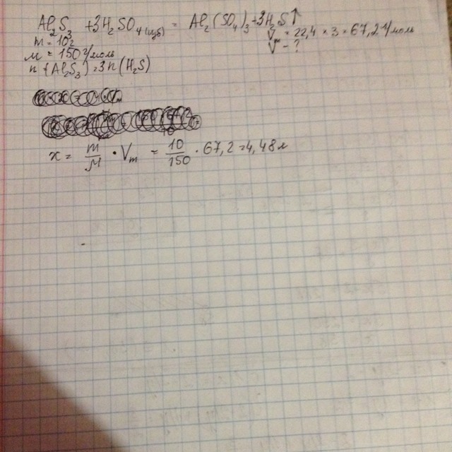
На 10 г сульфида алюминия подействовал избыток раствора серной кислоты. Какой объем газа ( при н.у.) выделиться при этом?
Ответы
Ответ дал:
0
Там нужно составит правильную пропорцию и всё будет.
Приложения:

Вас заинтересует
2 года назад
2 года назад
8 лет назад
8 лет назад
10 лет назад
10 лет назад
10 лет назад