• Предмет: Алгебра
  • Автор: peyzdom
  • Вопрос задан 7 лет назад

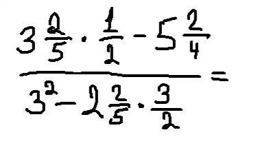
срочно, с обьяснением​

Приложения:

Ответы

Ответ дал: NNNLLL54
1

Ответ:

\displaystyle \frac{3\dfrac{2}{5}\cdot \dfrac{1}{2}-5\dfrac{2}{4}}{3^2-2\dfrac{2}{5}\cdot \dfrac{3}{2}}=\frac{\dfrac{17}{5}\cdot \dfrac{1}{2}-\dfrac{22}{4}}{9-\dfrac{12}{5}\cdot \dfrac{3}{2}}=\frac{\dfrac{17}{10}-\dfrac{22}{4}}{9-\dfrac{6\cdot 3}{5}}=\frac{\dfrac{34-110}{20}}{\dfrac{45-18}{5}}=\frac{\dfrac{-76}{20}}{\dfrac{27}{5}}=\frac{-\dfrac{19}{5}}{\dfrac{27}{5}}=-\frac{19}{27}

Вас заинтересует