• Предмет: Алгебра
  • Автор: ruslantoktasinov15
  • Вопрос задан 7 лет назад

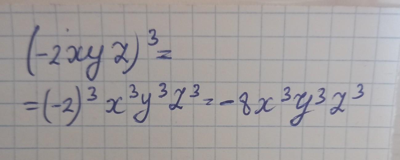
(-2xyz)³ срочно
20 б​

Ответы

Ответ дал: Dmitry1986
1

Вложение фото решение, ответ.

Приложения:
Ответ дал: 666hello
0

( - 2xyz)^{3}  =  ( - 2) ^{3}  \times  {x}^{3} \times  {y}^{3}   \times  {z}^{3}  =  - 8x^{3}  {y}^{3}  {z}^{3} .

Вас заинтересует