• Предмет: Математика
  • Автор: Аноним
  • Вопрос задан 8 лет назад

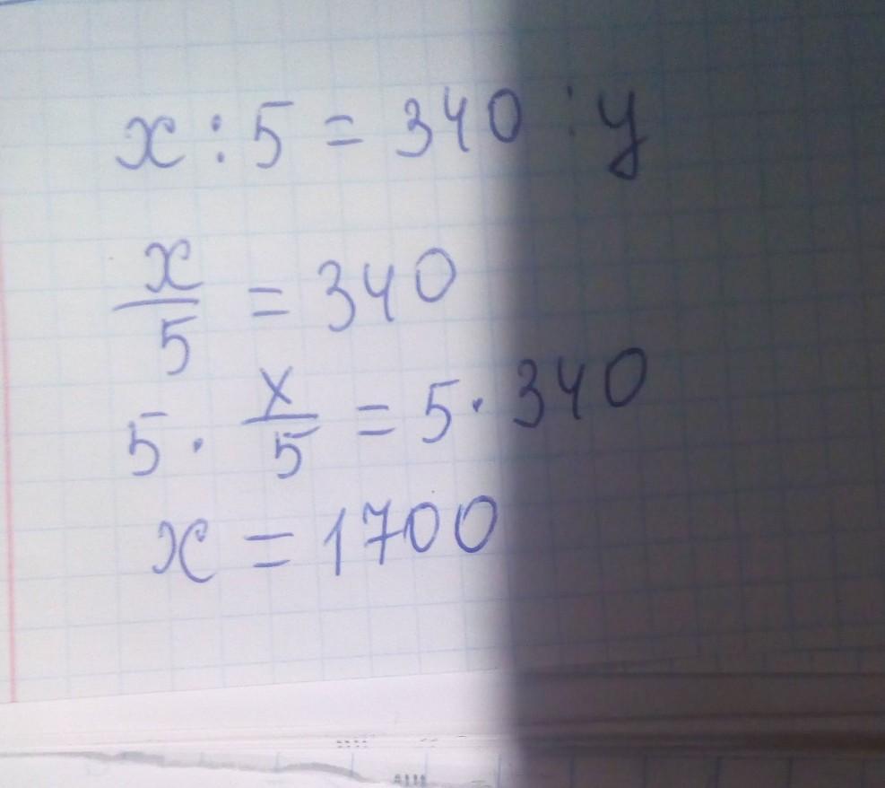
задана пропорция срочноо​

Приложения:

Ответы

Ответ дал: shimoro0001
0

Ответ:

Х•у—5•340=1700

Я так делал

Ответ дал: Elena3982
0

Пошаговое объяснение:

Вроде должно быть так,если не ошибаюсь.

Приложения:
Вас заинтересует