Ответы
Ответ дал:
1
Ответ:
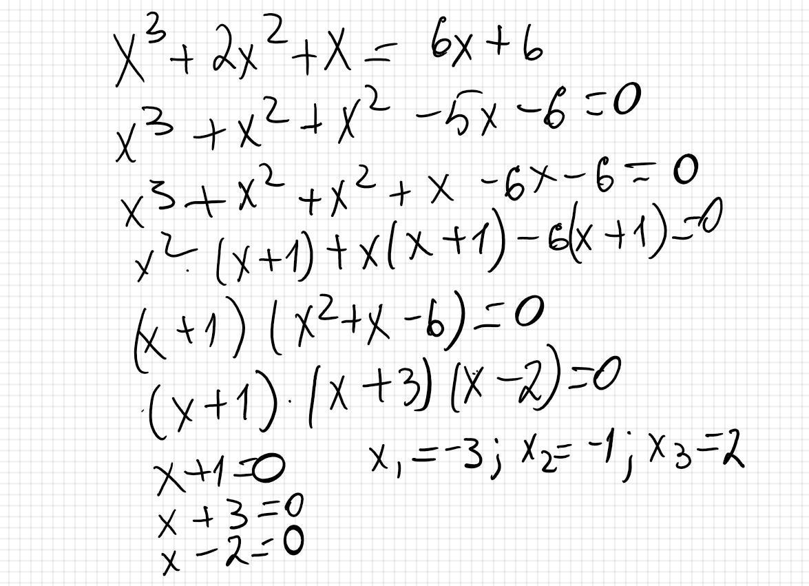
-3: -1: 2
Объяснение:
x+1=0 или x²+x-6=0
x=-1 x₁*x₂=-6 и x₁+x₂=-1 (теорема Виета)
x₁=2; x₂=-3
Ответ дал:
1
Ответ:
прикрепил
Объяснение:
Приложения:

Вас заинтересует
2 года назад
2 года назад
3 года назад
3 года назад
8 лет назад
9 лет назад