блоксхемы!
помогите пожалуйста хоть с 1 буду очень благодарна

Приложения:

Ответы

Ответ дал: pasha888000
0

Ответ:

Скопировать код в Dev C++ и запустить в компиляторном окне будут выведены значения.

Объяснение:

Dev C++

1) #include <iostream>

#include <stdio.h>

#include <stdlib.h>

#include <math.h>

int main(int argc, char** argv) {

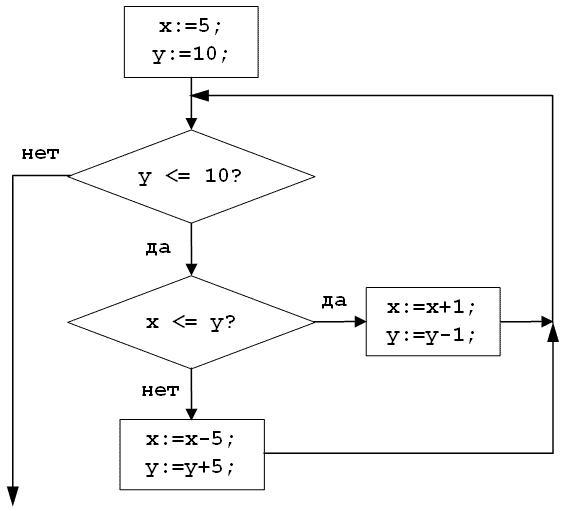
int x = 5, y = 10;

while(y<=10){

 if (x <= y){

  x = x + 1;

  y = y - 1;

 }

 else {

  x = x - 5;

  y = y + 5;

 }  

}

printf("X = %d", x);

printf("\nY = %d", y);

return 0;

}

2) #include <iostream>

#include <stdio.h>

#include <stdlib.h>

#include <math.h>

int main(int argc, char** argv) {

int a = 2, b = 0;

while (a != 7){

 a = a + 1;

 b = b + a;

}

printf("a = %d", a);

printf("\nb = %d", b);

return 0;

}

3) #include <iostream>

#include <stdio.h>

#include <stdlib.h>

#include <math.h>

int main(int argc, char** argv) {

int a = 56, b = 77;

while (a != b){

 if (a > b){

  a = a - b;

 }

 else {

  b = b - a;

 }

}

printf("a = %d", a);

printf("\nb = %d", b);

return 0;

}

4) #include <iostream>

#include <stdio.h>

#include <stdlib.h>

#include <math.h>

int main(int argc, char** argv) {

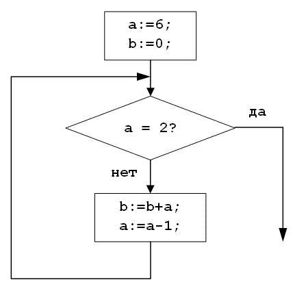
int a = 6, b = 0;

while (a!=2){

 b = b + a;

 a = a - 1;

}

printf("a = %d", a);

printf("\nb = %d", b);

return 0;

}

5) #include <iostream>

#include <stdio.h>

#include <stdlib.h>

#include <math.h>

int main(int argc, char** argv) {

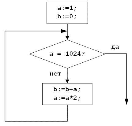
int a = 1, b = 0;

while (a != 1024){

 b = b + a;

 a = a * 2;

}

printf("a = %d", a);

printf("\nb = %d", b);

return 0;

}

Вас заинтересует