• Предмет: Алгебра
  • Автор: Аноним
  • Вопрос задан 7 лет назад

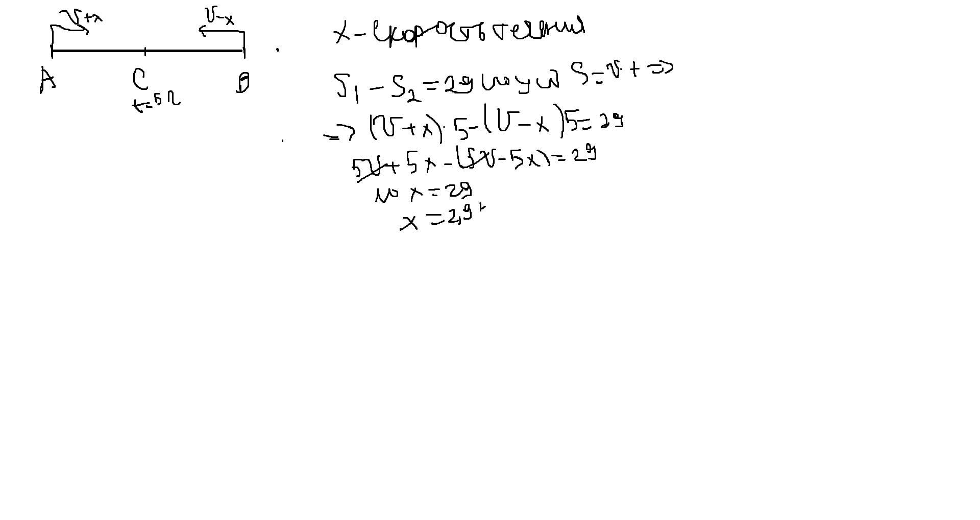
ПОМОГИТЕ!!!!!!! Одновременно от двух пристаней навстречу друг другу отошли две моторные лодки с одинаковыми скоростями. Через 5 ч. они встретились. Лодка, которая плыла по течению, прошла на 29 км больше, чем другая лодка. Бычисли скорость течения реки

Ответы

Ответ дал: AgaFon1337
0

Ответ:

Объяснение:

Удачи

Приложения:
Вас заинтересует