• Предмет: Алгебра
  • Автор: МаргоSha
  • Вопрос задан 10 лет назад

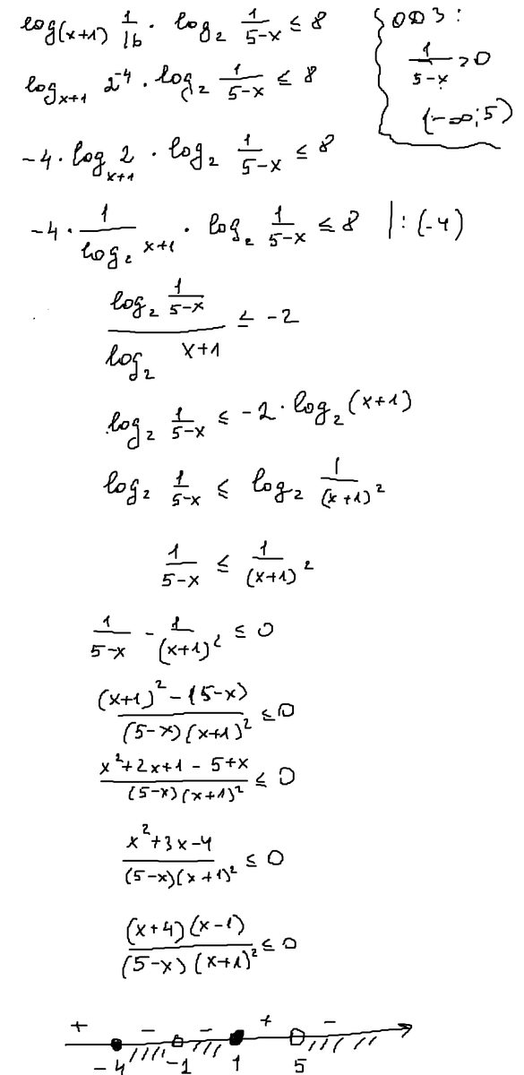
Решить методом интервалов:
log_{(x+1)} frac{1}{16} * log  _{2}  frac{1}{5-x} leq 8

Ответы

Ответ дал: esmilya
0
как-то вот так .....................
Приложения:
Ответ дал: volkodav575
0
Решение на фото, надеюсь видно.
Приложения:
Вас заинтересует