• Предмет: Алгебра
  • Автор: Agetnor
  • Вопрос задан 10 лет назад

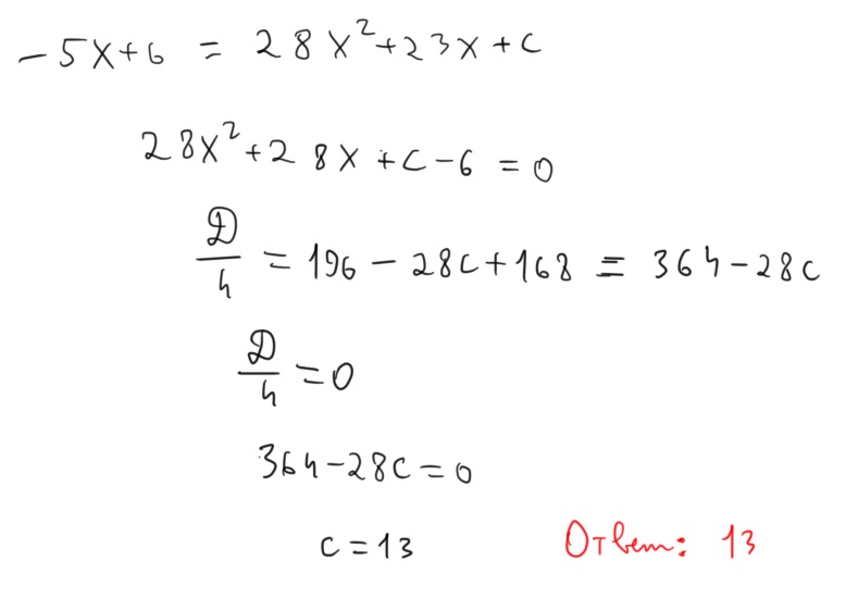
Прямая y=-5x+6 является касательной к графику функции y=28 x^{2} +23x+c. Найти c.

Ответы

Ответ дал: nikolac
0
Суть решения такая - раз эти две функции касаются, т.е. имеют общую точку, при чём только одну - приравняем их, и полученное уравнение должно иметь один корень, а произойдёт это только при условии, что дискриминант (или дискриминант/4) - без разницы, равен нулю. Само решение на картинке.
Приложения:
Вас заинтересует