• Предмет: Алгебра
  • Автор: linok693
  • Вопрос задан 7 лет назад

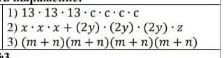
Упростить выражение ​

Приложения:

Ответы

Ответ дал: hedggehog
0

1) 13³×с⁴

2) х³+8у³z

3) (m+n)⁴

Ответ дал: gabbasovaanastasia07
0

Ответ:

1)13^3*с^4

2)х^3+(2у)^3*z

3)(m+n)^4

Вас заинтересует