• Предмет: Алгебра
  • Автор: golovaskinaulana607
  • Вопрос задан 8 лет назад

ПОМОГИТЕ ПЖЖЖЖ
!!!!!!!!!!​

Приложения:

Ответы

Ответ дал: tosya01
1

Ответ:

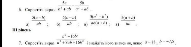
6.

 \frac{5a}{ {b}^{2} + ab }  -  \frac{5b}{ {a}^{2}  + ab}  =  \frac{5a - 5b}{ab}  =  \frac{5(a - b)}{ab}

7.

Объяснение:

 \frac{ {18}^{2} - 16 \times ( - 7.5) {}^{2}  }{ {18}^{2} + 8 \times 18 \times ( - 7.5) + 16 \times ( - 7.5) {}^{2}  }  =  \frac{ {18}^{2} - 2 {}^{4}  \times   {7.5}^{2} }{324 - 1080 +  {2}^{4}   \times 7.5 {}^{2} }  =   \frac{{18}^{2}  { - 2}^{4} \times  \frac{ {15}^{2} }{ {2}^{2} }  }{324 - 1080 + 2 {}^{4}  \times  \frac{ {15}^{2} }{ {2}^{2} } }  =  \frac{ {18}^{2}  { - 2}^{2}  \times  {15}^{2} }{324 - 1080 +  {2}^{2} \times  {15}^{2}  }  =  \frac{ {18}^{2} -  {30}^{2}  }{324 - 1080 + 900}  =  \frac{(18  -  30) \times (18 + 30)}{144}  =  \frac{ - 12 \times 48}{144}  =  \frac{ - 576}{144}  =  - 4

Ответ: -4

Вас заинтересует