Ответы
Ответ дал:
3
Ответ:
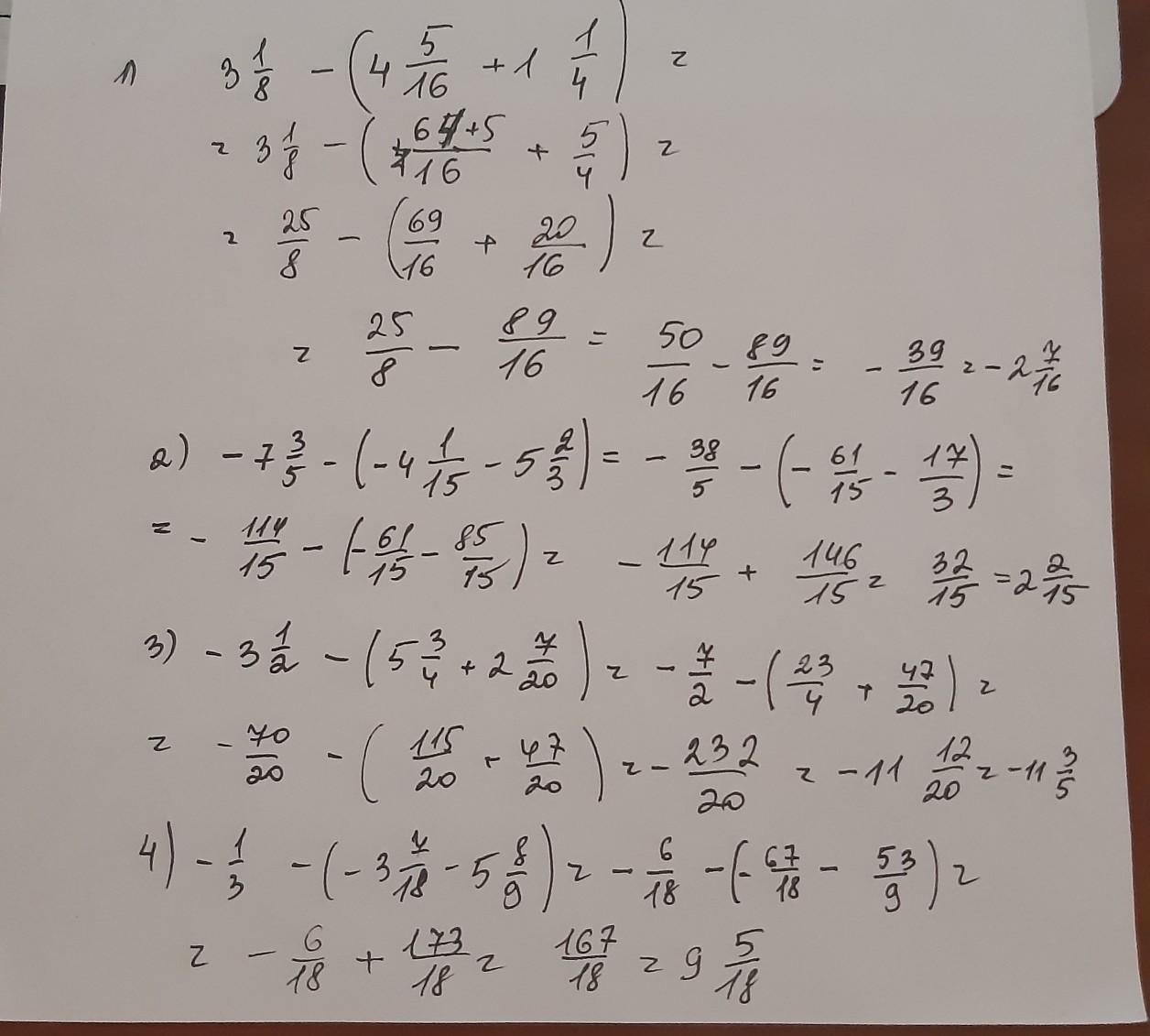
ответ и решение на фото и я устал это писать
Приложения:

panasyk8585:
господи спасибо, ты меня выручил
Вас заинтересует
2 года назад
3 года назад