• Предмет: Физика
  • Автор: Asfghjigghh
  • Вопрос задан 10 лет назад

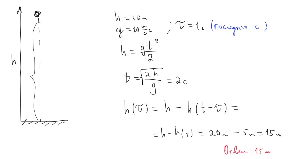
маленький камушек свободно падает без начальной скорости с высоты 20 м на поверхности Земли.Определите , какой путь пройдет камушек за последнюю секунду своего полета . Ускорение свободного падения можно принять равным 10 м/с2

Ответы

Ответ дал: nikolac
0
Решение на картинке.
Приложения:
Вас заинтересует