Ответы
Ответ дал:
0
1) 3(CH(тройная связь)CH) = C6H6 (над = C и t = 600)
2) C6H6 + Cl2 = C6H5Cl + HCl (над = cat FeCl3)
3) C6H5Cl + NaOH = C6H5OH + NaCl ( под NaOH водн. р-р)
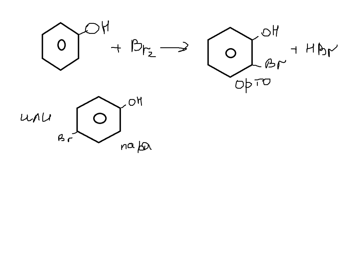
4) C6H5OH + Br2 = C6H5BrOH + HBr (Br в орто или пара положениях, т.к. OH - ориентант 1-го рода, если что - см.вложение).
2) C6H6 + Cl2 = C6H5Cl + HCl (над = cat FeCl3)
3) C6H5Cl + NaOH = C6H5OH + NaCl ( под NaOH водн. р-р)
4) C6H5OH + Br2 = C6H5BrOH + HBr (Br в орто или пара положениях, т.к. OH - ориентант 1-го рода, если что - см.вложение).
Приложения:

Вас заинтересует
2 года назад
8 лет назад
8 лет назад
10 лет назад
10 лет назад