• Предмет: Алгебра
  • Автор: Bastet16108
  • Вопрос задан 10 лет назад

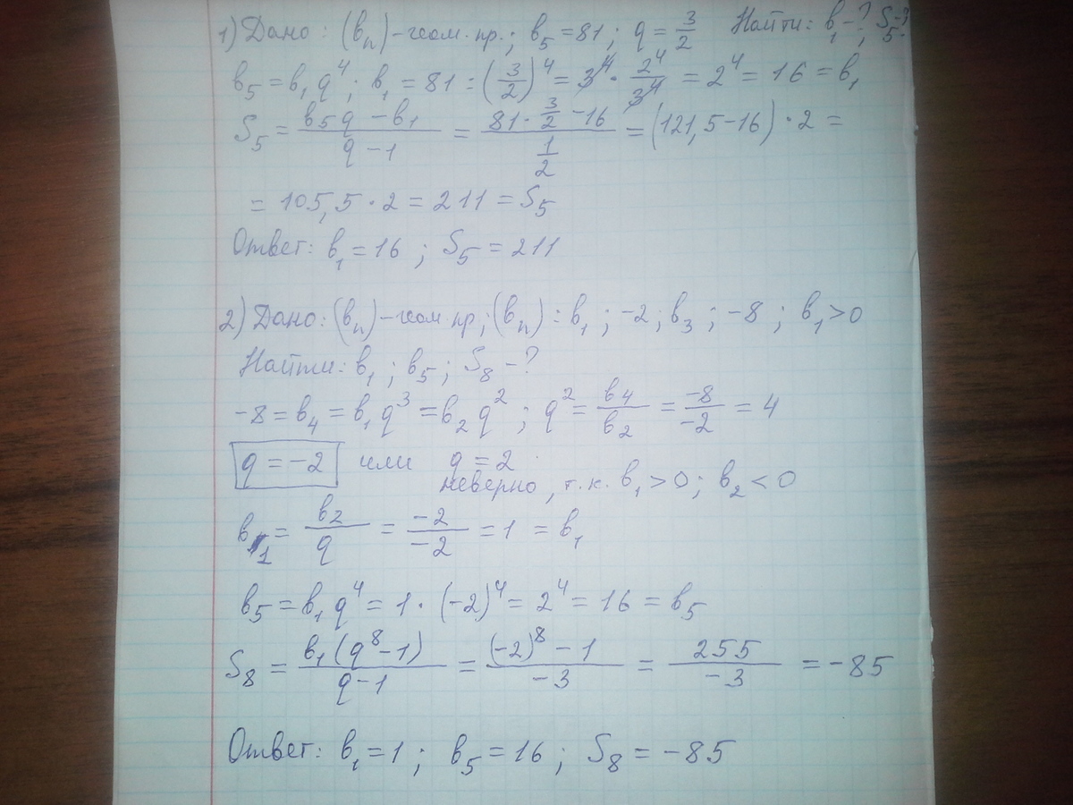
1) в геометрической прогрессии b5 = 81, q = 3/2, найти b1 и S5
2) дана геом. прогр. b1, -2, b3, -8 b1>0 найти b1, b5, S8
помогите решить срочно пожалуйста!

Ответы

Ответ дал: HarryPotter2013
0
На фото всё предельно ясно.
Приложения:
Вас заинтересует