• Предмет: Алгебра
  • Автор: mirzaevanarmin2008
  • Вопрос задан 8 лет назад

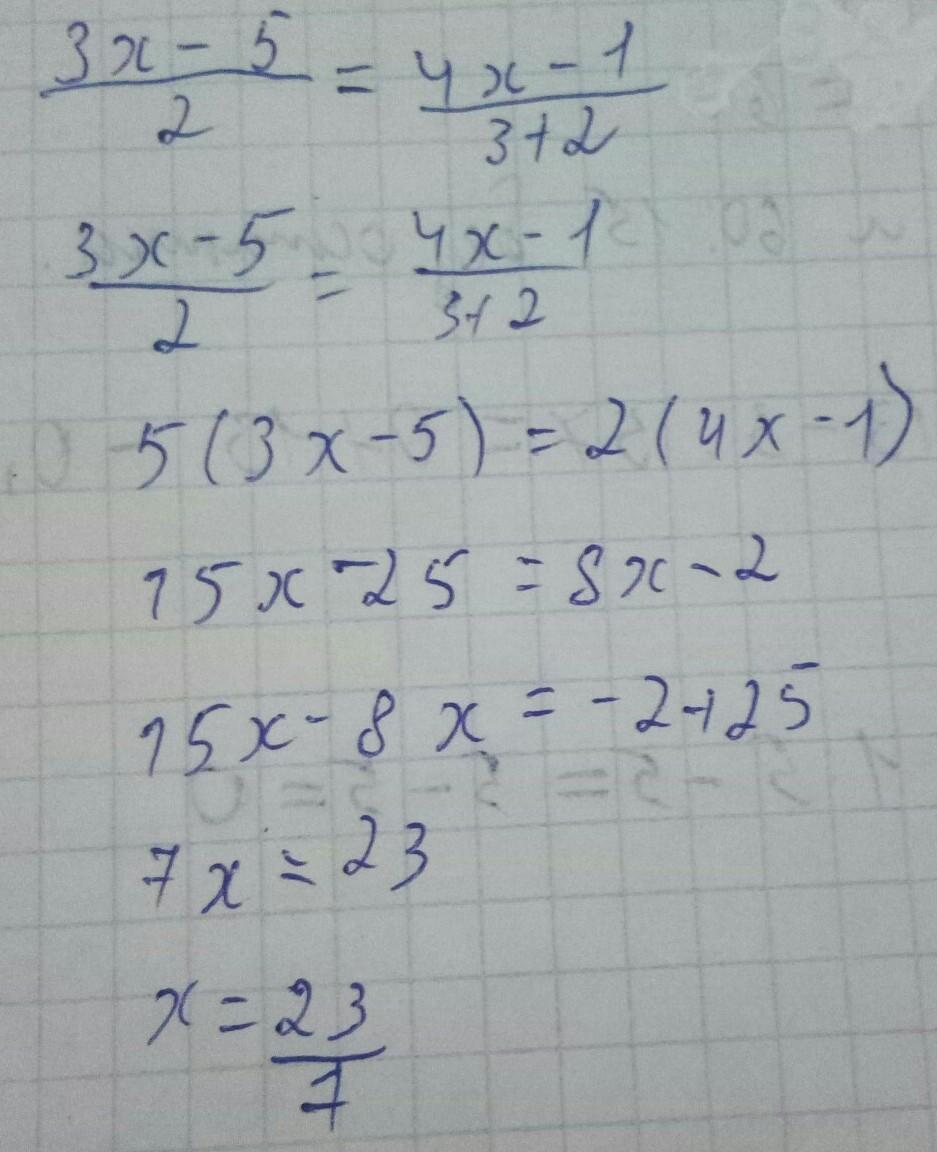
3x-5/2=4x-1/3+2
помогите пожалуйста

Ответы

Ответ дал: erasyldarken
0

Ответ:

ответ на фото.

х=23/7......

Приложения:

mirzaevanarmin2008: 3+2 не так 3 хай будет на месте а +2 за дробом иде
mirzaevanarmin2008: напиши так как я хочу пожалуйста
Вас заинтересует