• Предмет: Физика
  • Автор: osijchuknalia
  • Вопрос задан 7 лет назад

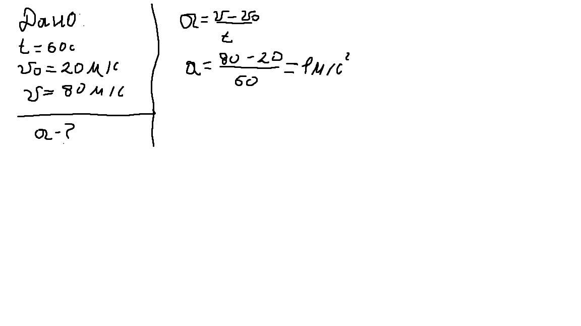
З яким прискоренням рухається автомобіль, якщо його швидкість за 1хв змінилася з 20м/c до 80м/с??

Допоможіть будьласка

Ответы

Ответ дал: TarasYashchuk
1

Ответ:

swrt

Объяснение:

Приложения:
Вас заинтересует