• Предмет: Математика
  • Автор: mataausheva
  • Вопрос задан 7 лет назад

Помогите пожалуйста срочно!!!

Приложения:

Ответы

Ответ дал: baudinovadiana
0

Ответ:

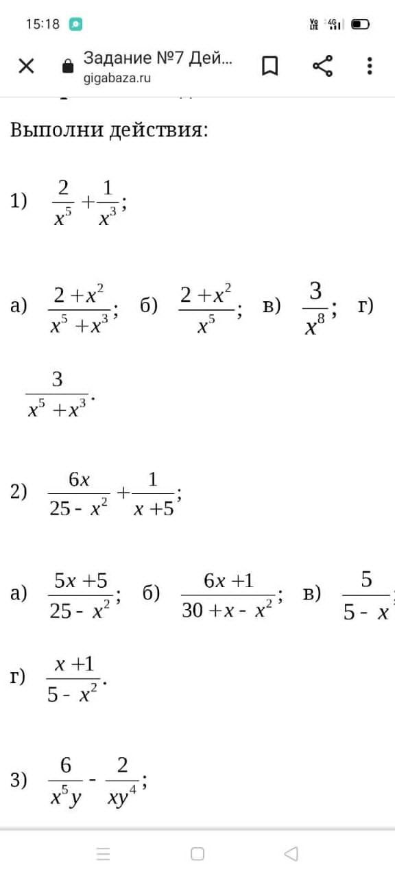
2/х⁵ + 1/х³ = 2+х²/х⁵

2+х²/х⁵+х³ = х=0

2+х²/х⁵ = х=0

3/х⁸ = х=0

3/х⁵+х³ = х=0

6х/25-х²+1/х+5 = 5х+5/25-х²

5х+5/25-х² = 3/5-х - 2/5+х

6х+1/30+х-х² = -37/11(х-6) - 29/11(х+5)

5/5-х = х=5

х+1/5-х² = х=-5 ; х=5

6/х⁵у - 2/ху⁴ = 6у³-2х/х⁵у

Пошаговое объяснение:

Удачи;)

Вас заинтересует