• Предмет: Алгебра
  • Автор: vasyura252
  • Вопрос задан 7 лет назад

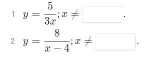
Чему не может равняться x?

Приложения:

Ответы

Ответ дал: Metamatik7
6
1) x не равно 0
2) x не равно 4
Ответ дал: Ariink
3

Ответ:

1) нулю

2) четырем

Объяснение:

надеюсь помогла

Вас заинтересует