• Предмет: Математика
  • Автор: karina10042007
  • Вопрос задан 8 лет назад

помогите найти радиус пожалуйста​

Приложения:

Ответы

Ответ дал: alinabaranova205
0

Ответ:

0,8см

Пошаговое объяснение:

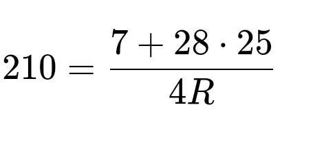
R=7+28*25.

4*210. =0,8 см.

Ответ дал: samuratovakram
0

Ответ:

Правильный ответ:

R=7+28*25=210*4=0,8см

Пошаговое объяснение:

Надеюсь помог считал сам!!

Вас заинтересует