• Предмет: Алгебра
  • Автор: unazem
  • Вопрос задан 7 лет назад

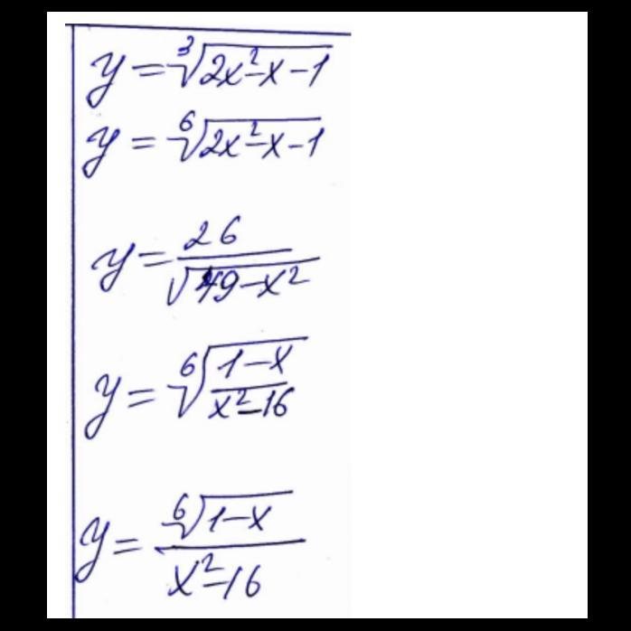
найти область определения

Приложения:

Ответы

Ответ дал: slsl69
1

Ответ:

2х²-х-1≠0

Д=1+4*2*1=9

х₁=(1-3)/4=-2/4= -1/2

х₂=(1+3)/4=1

(-∞;-1/2)∪(-1/2;1)∪(1;+∞)

Объяснение:

Вас заинтересует