• Предмет: Математика
  • Автор: sardariksardarik
  • Вопрос задан 7 лет назад

(-1/12+2/5)-(-0,36-0,64)=



Помогите пжпжпжпжпжпж

Ответы

Ответ дал: DANYLO373747
0

Ответ:

-41/60

Пошаговое объяснение:

1) -1/12+2/5=-5/60+24/60=19/60

2) -0,36-0,64=1

3) 19/60-1=-41/60


parus77: перед второй скобкой стоит МИНУС.исправь решение .
Ответ дал: parus77
0

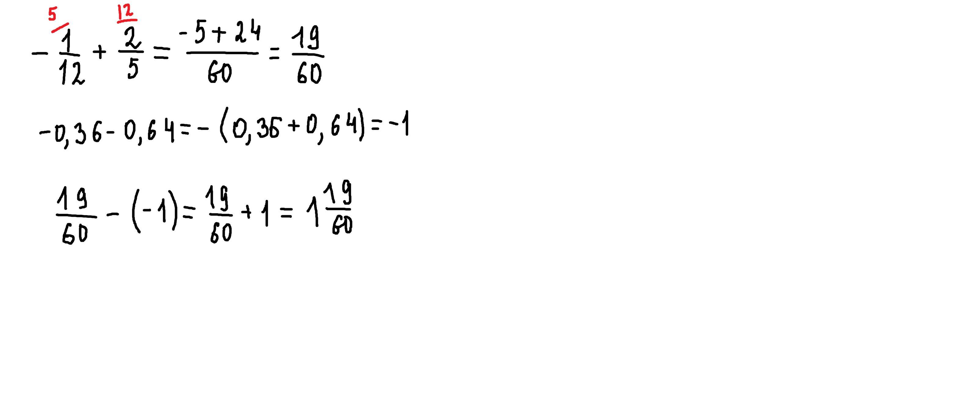
Ответ:

1 19\60

Пошаговое объяснение:

Приложения:
Вас заинтересует