• Предмет: Алгебра
  • Автор: Dassie
  • Вопрос задан 10 лет назад

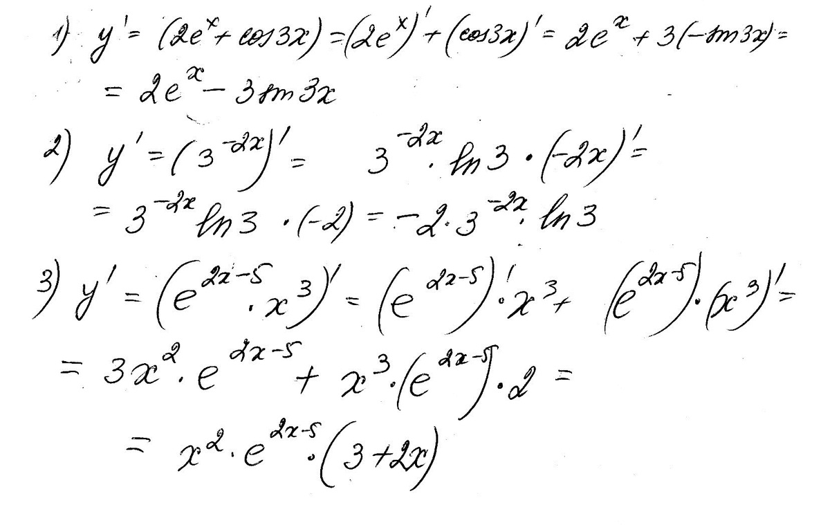
Помогите найти производную функции. Народ очень прошу помогите!!!

Приложения:

Ответы

Ответ дал: Vladislav006
0
Решение представлено ниже в приложении


Приложения:
Вас заинтересует