Ответы
Ответ дал:
0
ответ .........
-0,66
Приложения:

Ответ дал:
1
Ответ:
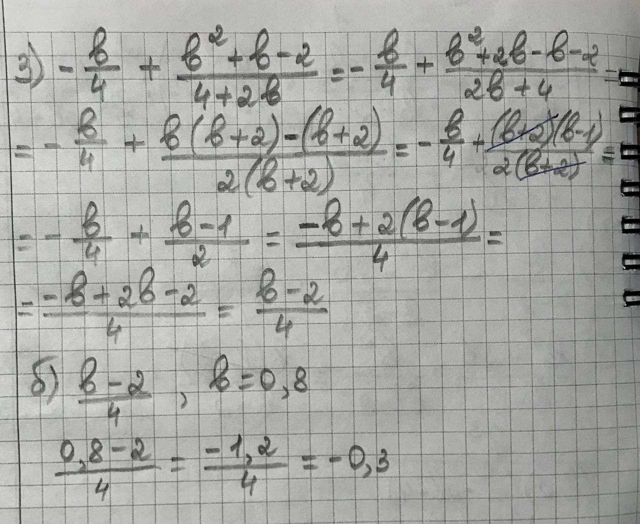
Ответ на фото
Объяснение:
Приложения:


krisosipova2357:
Спасибо.
Вас заинтересует
3 года назад
3 года назад
8 лет назад
8 лет назад
9 лет назад